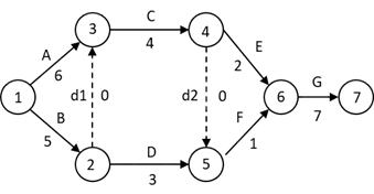
次に示すアロー・ダイアグラム (PERT図) で表わされるプロジェクトを考える。このプロジェクトを最早で完了するために、作業時間を延長できない作業の系列
(クリティカルパス) として、最も適切なものはどれか。ただし、図中のd1及びd2は所要時間が0のダミー作業である。

@ A → C (→ d2) → F → G
A A → C → E → G
B B → D → F → G
C B (→ d1) → C → E → G
D B (→d1) → C (→ d2) → F → G
A
クリティカルパスは、全体工程の所要時間が最も長くなる工程であり、開始から終了までの最少所要時間となる。
結合点 3までは、Aで6時間
結合点 4までは、A → C で10時間
結合点 5までは、A → C (→d2) で10時間
結合点 6までは、A → C → E で12時間
したがって、クリティカルパスは A → C → E → G で19時間となる。
| V−1 | 目次 | V−3 |